Theoretical notions

Below are some theoretical notions that need to be understood before changing the structure of the model.

 

A node (or vertex) is a unitary element used to form graphs (explained below). Nodes are usually interconnected by relations. Together they represent a physical system, a classification, and so on, broken down into elements. This kind of representation is often used to present our environment: the classification of animal species, a rocket engine, the organization of a building, the classification of the equipment in a BMS, the different BMS groups involved on a site, etc.

image2018-7-17 12:20:59.png

  • A graph is thus composed of nodes interconnected through relations.

  • Two nodes with the same ascendant (also called ancestor) are said to be siblings (or brothers & sisters).

  • Each node is associated with a level which makes it easier to identify.

image2018-7-17 12:21:25.png

 

A tree (or hierarchy) is differentiated from a graph by the fact that there is only one possible path to go from one node to another node in the case of a tree.

In the example below, in the first tree, there is only one path for C1 to reach A1 while in the graph, two paths are possible for C1 (via B1 or B2).

 

image2018-7-17 12:32:1.png

 

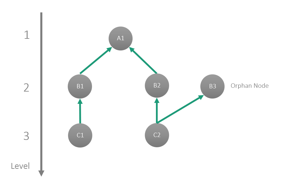
A node is considered an orphan when it is at a level above 1 and does not have a path to a level 1 node.

In the example below B3 is considered an orphan node.

 

image2018-7-17 12:32:52.png

 

It is important to distinguish between being directly or indirectly linked to a node. When a node is indirectly linked to another node, it is necessary to follow a path to reach it.

image2018-7-17 12:36:54.png

 

It is also important to differentiate the notion of parent versus ascendant, and child versus descendant.

  • The notion of parent / child in the IT sense means that the child is contained in the parent and therefore belongs to only one parent, (a component in Niagara is a child of a parent component).

  • The notion of ascendant / descendant means that the nodes are linked by a unidirectional relation which defines that the target node of the relation is the ascendant.

 

image2018-7-17 12:37:47.png

 

A path allows one node to reach another following the relations. We speak of a single path when there is only one possible path between two nodes.

image2018-7-17 12:39:18.png